Open Now- Summa Silver's Excellent Drill Results

Published: Thu, 04/20/23

The following is a paid email campaign for Summa Silver. Our mission-critical information is sent each weekend and is separate, therefore unsubscribing from this email will also stop your Free Morgan Report subscription.
Summa Silver's Excellent Drill Results

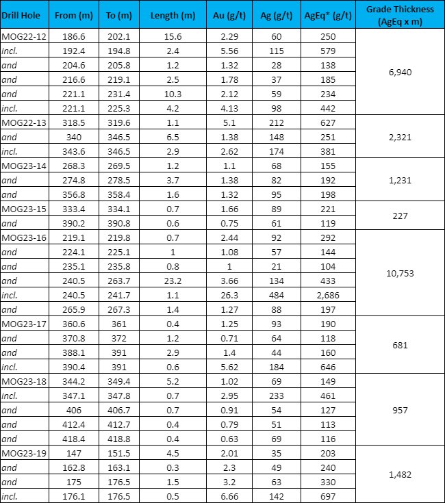
Summa Silver Drills 23.2 m of 433 g/t Silver Equiv. including 1.2 m at 2,686 g/t Silver Equiv. at the High-Grade Silver-Gold Mogollon Project, New Mexico

High-grade silver and gold mineralization remains open in multiple directions

Vancouver, April 20, 2023 - Summa Silver Corp. ("Summa" or the "Company") (TSXV:SSVR) (OTCQX: SSVRF) (Frankfurt:48X) is pleased to provide all remaining assay results from the recently completed drill program and an update from on-going data compilation at the high-grade silver-gold Mogollon Project near Silver City, New Mexico.


Key Current Drilling Highlights

  • 23.2 m at 433 g/t silver equivalent* (3.66 g/t Au, 134 g/t Ag) including 1.1 m at 2,686 g/t silver equivalent* (26.3 g/t Au, 484 g/t Ag) both beginning at 240.5 m in MOG23-16.

  • 15.5 m at 250 g/t silver equivalent* (2.29 g/t Au, 60 g/t Ag) beginning at 186.6 m and 10.3 m at 234 g/t silver equivalent* (2.12 g/t Au, 59 g/t Ag) beginning at 221.1 m in MOG22-12.

  • This mineralized zone remains open in multiple directions with strong silver-gold assays returned from holes at both ends of the current drilling pattern.

  • Work is just beginning at the project with this first target representing only 1% of the total vein and structure strike length present at the project.

Historic Drill Results Validated by the Company's Modern Drilling Campaign

Based on the success of the drill campaign, the Company now expects to be able to use historic drill hole data from the Consolidated Mine area for resource estimation purposes, particularly for domain volume definition and with appropriate risk mitigation applied in estimation and to the resource classification. Highlights include:

  • 14.0 m at 579 g/t silver equivalent* (4.46 g/t Au, 219 g/t Ag) beginning at 299 m in hole MGR-38.

  • 22.1 m at 368 g/t silver equivalent* (2.88 g/t Au, 135 g/t Ag) beginning at 290.6 m and including 6.4 m at 650 g/t silver equivalent* (5.04 g/t Au, 244 g/t Ag) beginning at 297.3 m in hole MGR-14.

  • 22.1 m at 320 g/t silver equivalent* (2.19 g/t Au, 147 g/t Ag) beginning at 257.6 m and including 4.6 at 742 g/t silver equivalent* (4.77 g/t Au, 372 g/t Ag) beginning at 275.1 m in hole MGR-8.

*Widths are downhole core lengths, true widths have yet to be determined. *AgEq is calculated using US$20/oz Ag, US$1,800/oz Au, with metallurgical recoveries of Ag - 90% and Au - 95%. AgEq = (Ag grade x Ag recovery)+((Au grade x Au recovery) x (Au price / Ag price)).

Galen McNamara, CEO, stated: "These drill results continue to demonstrate that significant mineralization remains in the ground around the old mines of Mogollon. Our campaign has also successfully verified the validity of historic high-grade drilling completed by a past operator in the 1980's. We are currently prioritizing targets a fall drilling campaign and plan to share more information both on new targets, and further historic data in due course. In the meantime, preparations are well underway for our upcoming drill program at the Hughes project in Tonopah, Nevada scheduled to begin in May."


Mogollon Data Compilation

The company has recently completed a comprehensive data compilation of all available historic underground production and surface exploration drill hole data from across the Mogollon project, with an initial focus on the Consolidated Extension target. Production records, surface and underground mapping, and channel sampling data together with mapped/surveyed developments and stopes have been digitised in 3D and compared with lithological and structural models generated from historic USGS reports.

Summary of Historic Drilling Around the Consolidated Mine

Historic RC drill data from the 1980's comprises downhole geological logs, sample interval information and full laboratory assay certificates for gold and silver analyses. Where observed, spatial collar information has been verified in the field.

Similar to Summa's recent drill programs, the focus of previous drilling in 1984 and 1988 at the Consolidated Extension target was to test for mineralization extensions along strike to the north and south from the Consolidated stopes. Select holes from Summa's recent drill programs at the Consolidated target were designed to step-out and verify some historic assay data. Summa's results compare favorably to historic results (Figure 2). Broad zones of strong quartz-calcite breccias, stockworks and multi-phase veining proximal to rhyolite dykes with local high-grade intervals within broader lower-grade zones (e.g., 22.1 m at 368 g/t silver equivalent* including 6.4 m at 650 g/t silver equivalent* in hole MGR-14) were described in most holes from the 1980's. These observations and results are spatially consistent with geologic and assay data from new diamond drill hole data.

Qualified Person

Galen McNamara, P.Geo., the Chief Executive Officer of the Company, and a qualified person pursuant to NI 43-101, has reviewed and approved the scientific and technical information contained on this website. Mr. McNamara has verified the data disclosed herein, including sampling and drilling data underlying the technical information contained herein, by reviewing blanks, duplicates and certified reference material that the Company inserted into the sample stream and confirming that they fall within limits as determined by acceptable industry practice. For the historical drilling results presented in this news release, Mr McNamara reviewed core logs, assay certificates, cross-sections, plan maps and supervised the verification of collar positions in the field.


About Summa Silver Corp

Summa is a Canadian junior mineral exploration company. The Company owns a 100% interest in the Hughes property located in central Nevada and has an option to earn 100% interest in the Mogollon property located in southwestern New Mexico. The Hughes property is host to the high-grade past-producing Belmont Mine, one of the most prolific silver producers in the United States between 1903 and 1929. The Mogollon property is the largest historic silver producer in New Mexico. Both properties have remained inactive since commercial production ceased and neither have seen modern exploration prior to the Company's involvement.

Follow Summa Silver on Twitter: @summasilver
LinkedIn: https://www.linkedin.com/company/summa-silver-corp

ON BEHALF OF THE BOARD OF DIRECTORS

"Galen McNamara"
Galen McNamara, Chief Executive Officer
info@summasilver.com
www.summasilver.com

Investor Relations Contact:
Giordy Belfiore

Corporate Development and Investor Relations
604-288-8004
giordy@summasilver.com
www.summasilver.com

Investor Inforamtion: https://summasilver.com/investors

Neither the TSX Venture Exchange nor its Regulation Services Provider (as that term is defined in the policies of the TSX Venture Exchange) accepts responsibility for the adequacy or accuracy of this release.

Cautionary note regarding forward-looking statements

This news release contains certain "forward looking statements" and certain "forward-looking information" as defined under applicable Canadian and U.S. securities laws. Forward-looking statements and information can generally be identified by the use of forward-looking terminology such as "may", "will", "should", "expect", "intend", "estimate", "anticipate", "believe", "continue", "plans" or similar terminology. The forward-looking information contained herein is provided for the purpose of assisting readers in understanding management's current expectations and plans relating to the future. These forward?looking statements or information relate to, among other things: the release of assays, and the exploration and development of the Company's mineral exploration projects including completion of surveys and drilling activities.

Forward-looking information is subject to known and unknown risks, uncertainties and other factors that may cause the actual actions, events or results to be materially different from those expressed or implied by such forward-looking information, including but not limited to: the requirement for regulatory approvals; enhanced uncertainty in global financial markets as a result of the current COVID-19 pandemic; unquantifiable risks related to government actions and interventions; stock market volatility; regulatory restrictions; and other related risks and uncertainties.

Forward-looking information are based on management of the parties' reasonable assumptions, estimates, expectations, analyses and opinions, which are based on such management's experience and perception of trends, current conditions and expected developments, and other factors that management believes are relevant and reasonable in the circumstances, but which may prove to be incorrect.

The Company undertakes no obligation to update forward-looking information except as required by applicable law. Such forward-looking information represents management's best judgment based on information currently available. No forward-looking statement can be guaranteed and actual future results may vary materially. Accordingly, readers are advised not to place undue reliance on forward-looking statements or information.


Information contained herein has been obtained from sources believed to be reliable, but there is no guarantee as to completeness or accuracy. Because individual investment objectives vary, this Summary should not be construed as advice to meet the particular needs of the reader. Any opinions expressed herein are statements of our judgment as of this date and are subject to change without notice. Any action taken as a result of reading this independent market research is solely the responsibility of the reader.

The Morgan Report is not and does not profess to be a professional investment advisor, and strongly encourages all readers to consult with their own personal financial advisors, attorneys, and accountants before making any investment decision. The Morgan Report and/or independent consultants or members of their families may have a position in the securities mentioned. Mr. Morgan does consult on a paid basis both with private investors and various companies. Investing and speculation are inherently risky and should not be undertaken without professional advice. By your act of reading this independent market research letter, you fully and explicitly agree that The Morgan Report will not be held liable or responsible for any decisions you make regarding any information discussed herein.

(c) 2023 The Morgan Report | David Morgan
 


621 Mallon
Suite 307
Spokane WA 99201
USA


Unsubscribe   |   Change Subscriber Options